
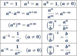
POTENCIAS DE UN EPONENTE ENTERO
El exponente de una potencia puede ser un número entero y tener por tanto signo positivo o negativo.
Una potencia de signo negativo es igual a 1 dividido por la misma potencia con signo positivo:
X-n = 1 / Xn
Veamos un ejemplo:
4-3 = 1 / 43
1.- Propiedades de las potencias:
1.– El producto de 2 potencias con diferentes bases e iguales exponentes es igual al producto de sus bases manteniendo el mismo exponente.
33 x53 = 153
2.– La división de 2 potencias con diferentes bases e iguales exponente es igual a la división de sus bases manteniendo el mismo exponente.
122 :42 = 32
3.– El producto de 2 potencias con iguales bases y diferentes exponentes es igual a la misma base siendo su exponente la suma de los exponentes.
43 x45 = 43 + 5 = 48
4.– La división de 2 potencias con iguales bases y diferentes exponentes es igual a la misma base siendo su exponente la resta de los exponentes.
56 :54 = 56 – 4 = 52
5.– Una potencia elevada a otra potencia mantiene la misma base siendo el exponente el producto de sus exponentes.
( 52 )3 = 52 x 3 = 56
6.– Una fracción elevada a un exponente es igual a numerador y denominador elevados a dicho exponente.
( 2 / 6)3 = 23 / 63
7.– Una fracción elevada a un exponente negativo es igual a la fracción inversa elevada al exponente positivo.
( 2 / 6)-3 = ( 6 / 2)3
2.- Operaciones con potencias
A la hora de resolver operaciones combinadas el orden de resolución es el siguiente:
1.- Los paréntesis, comenzando por los paréntesis interiores
2.- Las potencias
3.- Las multiplicaciones y las divisiones
4.- Las sumas y las restas.
Veamos algunos ejemplos:
1º ejemplo:
(2 / 3)2 x (2 / 3)-2 =
(2 / 3)2 x (3 / 2)2 = (En rojo: la potencia negativa de una fracción es igual a la potencia positiva de la fracción inversa)
(2 / 3 x 3 / 2)2 = (En negrita: el producto de dos potencias de igual exponente es igual al producto de sus bases elevado a dicho exponente)
(6 / 6)2 = 1
2º ejemplo:
(42)3 – 46 =
46 – 46 = 0 (En negrita: una potencia elevada a otra potencia es igual a la base elevada al producto de sus exponentes)
3º ejemplo:
32 x 34 – (1 / 3)-6 =
32+4– (3 / 1)6 = (En negrita: el producto de dos potencias de la misma base es otra potencia de la misma base elevada a la suma de los exponentes; En azul: la potencia negativa de una fracción es igual a la potencia positiva de la fracción inversa)
36 – 36 = 0
4º ejemplo:
((5 / 7)2 – (7 / 4)-2)3 / (3 / 7)3 =
((5 / 7)2 – (4 / 7)2)3 / (3 / 7)3 = (En negrita: la potencia negativa de una fracción es igual a la potencia positiva de la fracción inversa)
(52 / 72 – 42 / 72)3 / (3 / 7)3 = (En negrita: la potencia de una fracción es igual a numerador y denominador elevados a dicha potencia)
((52 – 42) / 72)3 / (3 / 7)3 = (En negrita: restamos dos potencias de igual denominador)
(32 / 72)3 / (3 / 7)3 = (En negrita: simplificamos 52 – 42 = 9 = 32)
((32 x 7) / (72 x 3))3 = (En negrita: para dividir dos potencias de igual exponente se dividen las bases y se mantiene el mismo exponente)
(3 / 7)3 = 33 / 73
3.- Potencias con exponente racional
El exponente de una potencia puede ser una fracción:
5 2 / 3
Estas potencias son equivalentes a una raíz cuyo índice es el denominador de la fracción, siendo el radicando la base de la potencia y su exponente el numerador:

RADICALES
Radical es un adjetivo que puede referirse a aquello perteneciente o relativo a la raíz, a algo (un giro, un cambio) total o completo, o a aquella persona partidaria de reformas extremas o que suele ser tajante o intransigente.

Un radical es una expresión de la forma
, en la que
y
. Además, si
es par, entonces
no puede ser negativo
.
Por ejemplo, tenemos que
es par. Por lo tanto,
; mientras que
.
Asimismo, como
es impar, entonces
y
. Es decir, la raíz cúbica está definida para cualquier número real
Se puede expresar un radical en forma de potencia:
![Rendered by QuickLaTeX.com \displaystyle \sqrt[n]{a^m} = a^{m/n}](https://www.superprof.es/apuntes/wp-content/ql-cache/quicklatex.com-375be71c7ef093b2631881cf2ff14a79_l3.png)
Ejemplo:
Ponemos en forma de potencia al
, 
El índice del radical
se transforma en el denominador y el exponente del radicando
en el numerador y efectuamos las operaciones:

Simplificación de radicales
Si existe un número natural que divida al índice y al exponente (o los exponentes) del radicando, se obtiene un radical simplificado.
Ejemplos
1 Simplificar ![\sqrt[6]{256}](https://www.superprof.es/apuntes/wp-content/ql-cache/quicklatex.com-cf87a3d543177c4136108f7ff530dacd_l3.png)
Ponemos en forma de potencia al
, 
Para simplificar el radical dividimos por
tanto el índice
como el exponente del radicando 
![Rendered by QuickLaTeX.com \sqrt[6]{256}= \sqrt[6]{2^8} = \sqrt[3]{2^4}](https://www.superprof.es/apuntes/wp-content/ql-cache/quicklatex.com-727870ae7e890807d3be914cfe7c3356_l3.png)
2 Simplificar ![\displaystyle \sqrt[4]{2^6 \cdot 3^{10} }](https://www.superprof.es/apuntes/wp-content/ql-cache/quicklatex.com-84cffd5ad3a7d1b0bfce936cb74a7478_l3.png)
Para simplificar el radical dividimos por
tanto el índice
como los exponentes del radicando 
![Rendered by QuickLaTeX.com \displaystyle \sqrt[4]{2^6 \cdot 3^{10} }= \sqrt{2^3 \cdot 3^5}](https://www.superprof.es/apuntes/wp-content/ql-cache/quicklatex.com-879a6f9388e17a062dbd3b9cce67499a_l3.png)
Reducción a índice común
Para reducir a común índice dos a más radicales:
1 Hallamos el mínimo común múltiplo de los índices, que será el común índice
2 Dividimos el común índice por cada uno de los índices y cada resultado obtenido se multiplica por sus exponentes correspondientes
Ejemplo:
Poner a común índice los radicales:
![Rendered by QuickLaTeX.com \displaystyle \sqrt{2}, \quad \sqrt[3]{2^2 \cdot 3^2}, \quad \sqrt[4]{2^2 \cdot 3^3}](https://www.superprof.es/apuntes/wp-content/ql-cache/quicklatex.com-7b1bb7506c9c1628b1b5d683e72ec8f3_l3.png)
En primer lugar hallamos el m.c.m. de los índices:
y 

Dividimos el común índice
por cada uno de los índices
y
y cada resultado obtenido se multiplica por sus exponentes correspondientes
![Rendered by QuickLaTeX.com \displaystyle \sqrt[12]{2^6}, \quad \sqrt[12]{(2^2)^4 \cdot (3^2)^4}, \quad \sqrt[12]{(2^2)^3 \cdot (3^3)^3}](https://www.superprof.es/apuntes/wp-content/ql-cache/quicklatex.com-c62187fbf81da7e29b6317d4c19113bc_l3.png)
Operamos con las potencias
![Rendered by QuickLaTeX.com \displaystyle \sqrt[12]{2^6}, \quad \sqrt[12]{2^8 \cdot 3^8}, \quad \sqrt[12]{2^6 \cdot 3^9}](https://www.superprof.es/apuntes/wp-content/ql-cache/quicklatex.com-2a5d9a492fe36a26b83db0af34295078_l3.png)
Extracción de factores en un radical
Para extraer factores de un radical se descompone el radicando en factores. Si:
Un exponente del radicando es menor que el índice
El factor correspondiente se deja en el radicando.
Ejemplos:
1
2![\displaystyle \sqrt[3]{9} = \sqrt[3]{3^2}](https://www.superprof.es/apuntes/wp-content/ql-cache/quicklatex.com-d3fcc97a3577927e49421cdc75b49060_l3.png)
Un exponente del radicando es igual al índice
El factor correspondiente sale fuera del radicando.
Ejemplos:
1
Descomponemos
en factores, como el
está elevado a la misma potencia que el índice podemos extraer el
del radicando
2![\displaystyle \sqrt[3]{8} = \sqrt[3]{2^3} = 2](https://www.superprof.es/apuntes/wp-content/ql-cache/quicklatex.com-2d6efff42e2644be7aaec7581f37edac_l3.png)
Descomponemos
en factores, como el
está elevado a la misma potencia que el índice podemos extraer el
del radicando
Un exponente del radicando es mayor que el índice
Se divide dicho exponente por el índice. El cociente obtenido es el exponente del factor fuera del radicando y el resto es el exponente del factor dentro del radicando
Ejemplos:
1 
El exponente del 2 es mayor que el índice, por tanto se divide dicho exponente
entre el índice 

El cociente obtenido
es el exponente del factor fuera del radicando y el resto
es el exponente del factor dentro del radicando.
Como el factor
es igual a 1, no es necesario colocarlo en el radicando ya que si se multiplica por otro factor este no varía
En general, si el resultado de dividir el exponente de un factor por el índice da como resto cero, no colocaremos ese factor en el radicando
2 ![\sqrt[3]{243}](https://www.superprof.es/apuntes/wp-content/ql-cache/quicklatex.com-a0aea08913d7a2ae98c893dc3bae0c32_l3.png)
Descomponemos en factores: 
El exponente es mayor que el índice, por tanto se divide dicho exponente
entre el índice
.
El cociente obtenido
es el exponente del factor fuera del radicando y el resto
es el exponente dentro del radicando
![Rendered by QuickLaTeX.com \sqrt[3]{243}= \sqrt[3]{3^5} = 3\sqrt[3]{3^2} = 3 \sqrt[3]{9}](https://www.superprof.es/apuntes/wp-content/ql-cache/quicklatex.com-f1467ff78eebaeeb5cb9fa0a8015e260_l3.png)
3 
Hay exponentes en el radicando mayores que el índice, por tanto se dividen dichos exponentes
y
por el índice
.
Cada uno de los cocientes
y
obtenidos será el exponente del factor correspondiente fuera del radicando y cada uno de los restos obtenidos
y
serán los exponentes de los factores correspondientes dentro del radicando

4![\displaystyle \sqrt[4]{2^7 \cdot 3^{14} \cdot 5^4} = 2 \cdot 3^3 \cdot 5 \cdot \sqrt[4]{2^3 \cdot 3^2} = 270\sqrt[4]{72}](https://www.superprof.es/apuntes/wp-content/ql-cache/quicklatex.com-6ffb69cc05300e3892f04207112b5554_l3.png)
Los exponentes el radicando son mayores que el índice, por tanto se dividen dichos exponentes
y
por el índice
.
Cada uno de los cocientes
obtenidos será el exponente del factor correspondiente fuera del radicando y cada uno de los restos obtenidos
serán los exponentes de los factores correspondientes dentro del radicando
Introducción de factores en un radical
Para introducir factores en un radical se elevan los factores al índice del radical.
![Rendered by QuickLaTeX.com \displaystyle a \sqrt[n]{b} = \sqrt[n]{a^n b}](https://www.superprof.es/apuntes/wp-content/ql-cache/quicklatex.com-1b64b121ea6908438b53fe587b70bc61_l3.png)
Ejemplos:
1
Como el índice es
, el factor fuera del radical
se eleva al cuadrado y realizamos las operaciones

2![\displaystyle 2^2 \cdot 3^3 \sqrt[4]{6}](https://www.superprof.es/apuntes/wp-content/ql-cache/quicklatex.com-63131b8910c0fc61857a847f7e585a25_l3.png)
Tanto el
como el
se introducen elevados a la cuarta potencia, es decir,
![Rendered by QuickLaTeX.com \displaystyle \sqrt[4]{(2^2)^4 \cdot (3^3)^4 \cdot 2 \cdot 3}](https://www.superprof.es/apuntes/wp-content/ql-cache/quicklatex.com-c41998d1a7065cfea9de42e07202343f_l3.png)
Quitamos los paréntesis multiplicando los exponentes
![Rendered by QuickLaTeX.com \displaystyle 2^2 \cdot 3^3 \sqrt[4]{2 \cdot 3} = \sqrt[4]{2^9 \cdot 3^{13} }](https://www.superprof.es/apuntes/wp-content/ql-cache/quicklatex.com-fa64cb171ab748772507db5668cb88a3_l3.png)
Multiplicamos las potencias con la misma base
Suma de radicales
Solamente pueden sumarse (o restarse) dos radicales cuando son radicales semejantes, es decir, si son radicales con el mismo índice e igual radicando.
Para sumar radicales con el mismo índice e igual radicando se se suman los coeficientes de los radicales.
![Rendered by QuickLaTeX.com \displaystyle a\sqrt[n]{k} + b\sqrt[n]{k} + c\sqrt[n]{k} = (a + b + c)\sqrt[n]{k}](https://www.superprof.es/apuntes/wp-content/ql-cache/quicklatex.com-f9aea15f8dafae699811a11af5f08dbf_l3.png)
Ejemplos:
1
Sumamos los coeficientes de los radicales

2![\displaystyle 3\sqrt[4]{5} - 2\sqrt[4]{5} - \sqrt[4]{5}](https://www.superprof.es/apuntes/wp-content/ql-cache/quicklatex.com-89e8674991a93f285f72ceca9a6afbff_l3.png)
Sumamos los coeficientes de los radicales
![Rendered by QuickLaTeX.com \displaystyle (3 - 2 - 1)\sqrt[4]{5} = 0](https://www.superprof.es/apuntes/wp-content/ql-cache/quicklatex.com-60049c09c1786c7bc59731f0d5fc6116_l3.png)
3
Descomponemos en factores los radicandos:

De manera que las raíces son

Extraemos factores de los radicales y los multiplicamos por el coeficiente del radical correspondiente

Sumamos los coeficientes de los radicales

4![\displaystyle \sqrt[4]{4} + \sqrt[6]{8} - \sqrt[12]{64}](https://www.superprof.es/apuntes/wp-content/ql-cache/quicklatex.com-8f6a2a25cf0782987ded4e295e88dabf_l3.png)
Extraemos factores de los radicales y los multiplicamos por el coeficiente del radical correspondiente

De manera que
![Rendered by QuickLaTeX.com \displaystyle \sqrt[4]{2^2} + \sqrt[6]{2^3} - \sqrt[12]{2^6}](https://www.superprof.es/apuntes/wp-content/ql-cache/quicklatex.com-8f1c6d0d60dea0d60089e8a9322b2f08_l3.png)
Simplificamos los radicales. En el primer radical dividimos el índice y el exponente del radicando por
, en el segundo por
y en el tercero por 

Sumamos los coeficientes de los radicales

Ejemplos de ejercicios de suma y resta de radicales

Multiplicación de radicales con el mismo índice
Para multiplicar radicales con el mismo índice se multiplican los radicandos y se deja el mismo índice.
![Rendered by QuickLaTeX.com \displaystyle \sqrt[n]{a} \cdot \sqrt[n]{b} = \sqrt[n]{a \cdot b}](https://www.superprof.es/apuntes/wp-content/ql-cache/quicklatex.com-79d6c78b0415a63a4c1f9ab23b752ee3_l3.png)
Multiplicación de radicales con distinto índice
Primero se reducen a común índice y luego se multiplican.
Ejemplos:
1 ![\displaystyle \sqrt{3} \cdot \sqrt[3]{9} \cdot \sqrt[4]{27} =](https://www.superprof.es/apuntes/wp-content/ql-cache/quicklatex.com-4870b34d7ee2479461e9b7af4de9ccdc_l3.png)
Descomponemos en factores los radicandos
![Rendered by QuickLaTeX.com \displaystyle = \sqrt{3} \cdot \sqrt[3]{3^2} \cdot \sqrt[4]{3^3}](https://www.superprof.es/apuntes/wp-content/ql-cache/quicklatex.com-f35e1e64885770c5799bd5ea9db81cdf_l3.png)
Reducimos a común índice por lo que tenemos que calcular el mínimo común múltiplo de los índices, que será el común índice.

Dividimos el común índice
por cada uno de los índices
y cada resultado obtenido se multiplica por sus exponentes correspondientes
. Realizamos el producto de potencias con la misma base en el radicando y extraemos factores del radicando
![Rendered by QuickLaTeX.com \displaystyle = \sqrt[12]{3^6} \cdot \sqrt[12]{\left( 3^2 \right)^4} \cdot \sqrt[12]{\left( 3^3 \right)^3} = \sqrt[12]{3^6 \cdot 3^8 \cdot 3^9} = \sqrt[12]{3^{23}} = 3 \sqrt[12]{3^{11}}](https://www.superprof.es/apuntes/wp-content/ql-cache/quicklatex.com-fd9922ade25f2a034d3464ec8d50a795_l3.png)
División de radicales con el mismo índice
Para dividir radicales con el mismo índice se dividen los radicandos y se deja el mismo índice.
![Rendered by QuickLaTeX.com \displaystyle \frac{\sqrt[n]{a}}{\sqrt[n]{b}} = \sqrt[n]{\frac{a}{b}}](https://www.superprof.es/apuntes/wp-content/ql-cache/quicklatex.com-aa85ddfc5ba3e84ec7dd8f1950c69230_l3.png)
Ejemplo:
![Rendered by QuickLaTeX.com \displaystyle \frac{\sqrt[6]{128}}{\sqrt[6]{16}} = \sqrt[6]{\frac{128}{16}} = \sqrt[6]{\frac{2^7}{2^4}} = \sqrt[6]{2^3} = \sqrt{2}](https://www.superprof.es/apuntes/wp-content/ql-cache/quicklatex.com-0e450a4a8ab6d1988590342bb16b5afd_l3.png)
Como los dos radicales tienen el mismo índice lo ponemos todo en un radical con el mismo índice
Descomponemos en factores, hacemos la división de potencias con la misma base
Simplificamos el radical dividiendo el índice y el exponente del radicando por 
División de radicales con distinto índice
Primero se reducen a índice común y luego se dividen.
Ejemplos:
1![\displaystyle \frac{\sqrt[3]{4}}{\sqrt{2}} =](https://www.superprof.es/apuntes/wp-content/ql-cache/quicklatex.com-aff310d1bdb593615864d8882d31c8d5_l3.png)
En primer reducimos a común índice por lo que tenemos que calcular el mínimo común múltiplo de los índices, que será el común índice.
.
Dividimos el común índice
por cada uno de los índices (
y
) y cada resultado obtenido se multiplica por sus exponentes correspondientes (
y
)
Descomponemos el
en factores para poder hacer la división de potencias con la misma base y dividimos
![Rendered by QuickLaTeX.com \displaystyle \frac{\sqrt[3]{4}}{\sqrt{2}} = \sqrt[6]{\frac{4^2}{2^3}} = \sqrt[6]{\frac{\left(2^2 \right)^2}{2^3}} = \sqrt[6]{\frac{2^4}{2^3}} = \sqrt[6]{2}](https://www.superprof.es/apuntes/wp-content/ql-cache/quicklatex.com-c5c12753ff9b5868d1dc233ac635e54a_l3.png)
Potencia de un radical
Para elevar un radical a una potencia, se eleva a dicha potencia el radicando y se deja el mismo índice.
![Rendered by QuickLaTeX.com \displaystyle \left( \sqrt[n]{a} \right)^m = \sqrt[n]{a^m}](https://www.superprof.es/apuntes/wp-content/ql-cache/quicklatex.com-52649ffd25289151d17dacbe31456f70_l3.png)
Ejemplo:
1 ![\displaystyle \left( \sqrt[3]{18} \right)^2 =](https://www.superprof.es/apuntes/wp-content/ql-cache/quicklatex.com-a5ead3f61244042120bef6dd594ede22_l3.png)
Elevamos el radicando al cuadrado, descomponemos
en factores y los elevamos al cuadrado y por último extraemos factores
![Rendered by QuickLaTeX.com \displaystyle\left(\sqrt[3]{18} \right)^{2}=\sqrt[3]{18^{2}}=\sqrt[3]{(2\cdot 3^2)^2}=\sqrt[3]{2^2\cdot 3^4}=3\sqrt[3]{12}](https://www.superprof.es/apuntes/wp-content/ql-cache/quicklatex.com-a2c5d27aac15100fe3e3489a232ad27d_l3.png)
Raíz de un radical
La raíz de un radical es otro radical de igual radicando y cuyo índice es el producto de los dos índices.
![Rendered by QuickLaTeX.com \displaystyle \sqrt[n]{\sqrt[m]{a}}=\sqrt[n\dot m]{a}](https://www.superprof.es/apuntes/wp-content/ql-cache/quicklatex.com-3cb6c1178e76a12785c1f28ba950ff46_l3.png)
Ejemplo:
1 ![\displaystyle \sqrt{\sqrt[3]{\sqrt[4]{2}}}](https://www.superprof.es/apuntes/wp-content/ql-cache/quicklatex.com-eabb1f960f7e5d2c8c51f3440016a09b_l3.png)
Multiplicamos los índices
![Rendered by QuickLaTeX.com \displaystyle \sqrt{\sqrt[3]{\sqrt[4]{2}}}=\sqrt[24]{2}](https://www.superprof.es/apuntes/wp-content/ql-cache/quicklatex.com-403f6afc5b49f433e6068073e9ccfc67_l3.png)
2 ![\displaystyle \sqrt{2\sqrt[3]{2\sqrt[4]{2}}}](https://www.superprof.es/apuntes/wp-content/ql-cache/quicklatex.com-7e1680c1f172b90329f03aa1bc13d72e_l3.png)
Introducimos el primer
dentro de la raíz cúbica por lo que tendremos que elevarlo al cubo y multiplicamos las potencias con la misma base
![Rendered by QuickLaTeX.com \displaystyle \sqrt{2\sqrt[3]{2\sqrt[4]{2}}}=\sqrt{\sqrt[3]{2^{3}\cdot 2\sqrt[4]{2}}}=\sqrt{\sqrt[3]{2^{4}\sqrt[4]{2}}}](https://www.superprof.es/apuntes/wp-content/ql-cache/quicklatex.com-9fde38878c9ff0645ba2adb76a3894fc_l3.png)
Introducimos el
en la raíz cuarta por lo que tenemos que elevarlo a la cuarta, realizamos el producto de potencias y por último el producto de los índices
![Rendered by QuickLaTeX.com \displaystyle \sqrt{\sqrt[3]{\sqrt[4]{(2^{4})^{4}\cdot 2}}}=\sqrt[24]{2^{17}}](https://www.superprof.es/apuntes/wp-content/ql-cache/quicklatex.com-91ec12528de37cb20020d96706e42d54_l3.png)
RACIONALIZACIÓN
Racionalización
La racionalización de radicales consiste en quitar los radicales del denominador, lo que permite facilitar el cálculo de operaciones como la suma de fracciones
Podemos distinguir tres casos:
Caso 1
Racionalización del tipo 
Se multiplica el numerador y el denominador por 

Ejemplos:

Caso 2
Racionalización del tipo ![\displaystyle \frac{a}{b\sqrt[n]{c^{m}}}](https://www.superprof.es/apuntes/wp-content/ql-cache/quicklatex.com-1820a02b99132291bc0afeb7e3506ec4_l3.png)
Se multiplica numerador y denominador por ![\displaystyle \sqrt[n]{c^{n-m}}](https://www.superprof.es/apuntes/wp-content/ql-cache/quicklatex.com-d1f6070ff69654f2df69493f9cf4ce07_l3.png)
![Rendered by QuickLaTeX.com \displaystyle \frac{a}{b\sqrt[n]{c^{m}}}=\frac{a\cdot \sqrt[n]{c^{n-m}}}{b\sqrt[n]{c^{m}}\cdot \sqrt[n]{c^{n-m}}}=\frac{a\cdot \sqrt[n]{c^{n-m}}}{b \sqrt[n]{c^{m}\cdot c^{n-m}}}=\frac{a\cdot \sqrt[n]{c^{n-m}}}{b\cdot c}](https://www.superprof.es/apuntes/wp-content/ql-cache/quicklatex.com-30ab3aafb0783a174c52c269b7332112_l3.png)
Ejemplo:
![Rendered by QuickLaTeX.com \displaystyle \frac{2}{3\sqrt[5]{4}}=\frac{2}{3\sqrt[5]{2^{2}}}=\frac{2\cdot \sqrt[5]{2^{3}}}{3\sqrt[5]{2^{2}}\cdot \sqrt[5]{2^{3}}}=\frac{2\cdot \sqrt[5]{2^{3}}}{3 \sqrt[5]{2^{2}\cdot 2^{3}}}=\frac{2\cdot \sqrt[5]{2^{3}}}{3\cdot 2}=\frac{\sqrt[5]{8}}{3}](https://www.superprof.es/apuntes/wp-content/ql-cache/quicklatex.com-3ffeec18da3c8b01184bc1607703a1a3_l3.png)
El radicando
lo ponemos en forma de potencia: 
Tenemos que multiplicar en el numerador y denominador por la raíz quinta de 
Multiplicamos los radicales del denominador, extraemos factores del radical y simplificamos la fracción
Caso 3
Racionalización del tipo 
Y en general cuando el denominador sea un binomio con al menos un radical.
Se multiplica el numerador y denominador por el conjugado del denominador.
El conjugado de un binomio es igual al binomio con el signo central cambiado:

También tenemos que tener en cuenta que: «suma por diferencia es igual a diferencia de cuadrados«.

Ejemplos:
1
Multiplicamos numerador y denominador por el conjugado del denominador, quitamos paréntesis en el numerador y efectuamos la suma por diferencia en el denominador, por lo que obtenemos una diferencia de cuadrados

2 
Multiplicamos y dividimos la fracción por el conjugado del denominador

3 
Multiplicamos numerador y denominador por el conjugado del denominador, quitamos paréntesis en el numerador y efectuamos la suma por diferencia en el denominador, por lo que obtenemos una diferencia de cuadrados

